Converting Pirates Without Cannibalizing Purchasers: The Impact of Digital Distribution on Physical Sales and Internet Piracy
Abstract
문제 상황
- 2007년 12월에 Apple의 Itunes 스토어에서 NBC 컨텐츠가 제거된 뒤 2008년 9월에 복원됨
분석 주제
- 이 시간 동안 NBC의 컨텐츠가 디지털 불법 복제 채널에서의 수요가 어떻게 변하는가?
- (더 일반적인 주제로 나아간다면) 디지털 채널을 통한 미디어의 배급이 불법 디지털 채널의 영향력을 어떻게 변화시키는가?
- -> 해당 기간동안 NBC 컨텐츠의 BitTorrent (불법) 채널, Amazon DVD 스토어 (합법) 각각에서의 수요를 분석함
분석 방법
- NBC 컨텐츠를 Treatment group으로, non-NBC (ABC, CBS, Fox 등 ITunes에서 컨텐츠를 계속 제공하는 네트워크) 컨텐츠를 Control group으로 하여 불법 채널과 합법 채널에서의 컨텐츠 수요 수준의 effect 차이를 DID으로 분석함
분석 결과
- 2007년 12월에 NBC 컨텐츠가 Itunes에서 제거된 뒤 불법 채널에서 NBC 컨텐츠의 수요가 11.4% 증가함
- 불법 사이트에서 NBC 하루 평균 다운로드가 48,000건 증가함 (이는 동일한 컨텐츠에 대한 ITunes에서의 하루 평균 다운로드 수의 2배에 달함)
- 2008년 9월에 ITunes 스토어에서 NBC 컨텐츠가 복원되었을 때 동일한 컨텐츠의 불법 다운로드 수가 미미하게 감소함
- non-NBC 채널에서는 불법 다운로드 수에 차이가 없었음
piracy data
BitTorrent 일일 다운로드 수
= 불법 복제에 대한 proxy (가장 인기 많은 불법 복제 다운로드 소스였기 때문)
ABC, CBS, Fox 등 다른 주요 텔레비전 네트워크의 텔레비전 프로그램에 대한 불법 복제를 Contorl group으로 분석
NBC 콘텐츠 제거 효과를 가장 잘 분리하기 위해 2007년 12월 1일 전후 2주(및 2008년 9월 9일 전후 2주) 기간에 초점을 맞췄습니다. (2007년 12월에 Apple의 Itunes 스토어에서 NBC 컨텐츠가 제거된 뒤 2008년 9월에 복원됨)
12월 1일 이후 NBC 콘텐츠의 불법 복제 변화를 비 NBC 콘텐츠의 불법 복제 변화와 비교
DVD Sales Data
DVD 판매에 미치는 영향을 분석하기 위해 동일한 기간(2008년 11월 18일~12월 15일) 동안 Amazon.com에서 DVD 시즌 박스 세트 판매 순위에 대한 패널 데이터를 사용함
4.3. Summary Statistics

- Treatment 시점 (ITunes에서 NBC 컨텐츠가 제외된 시점) 전후의 NBC network와 non-NBC network의 데이터 통계량을 비교함
- 불법 사이트에서 해당 network 컨텐츠의 다운로드 수, 다운로드 된 에피소드의 수를 비교했을 때 두 통계량 모두 NBC networks에서 더 많이 증가함
- but.. 통계량으로 결과 해석 시 한계점이 있음
- 중요한 에피소드 수준의 이질성을 통제하지 못하며 디지털 배포와 불법 복제 간의 실제 관계에 대한 적절한 모델을 반영하지 않기 때문에 부분적인 이야기만 전달할 뿐임
Analysis
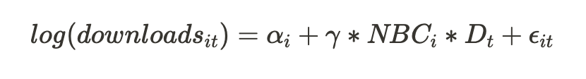
DID 분석 모델

- NBCi: 에피소드 i가 NBC에서 방송되는지 여부 (0 또는 1)
- Dt: 각 날짜(11월 15일부터 12월 24일까지 데이터의 첫 번째 날짜)에 대한 fixed effect
- αi: 에피소드에 대한 fixed effect
- Downloads_it: t 시점에 에피소드 i의 불법 복제된 다운로드의 총 수 (종속변수)
- γt: t 시점에 NBC 불법 복제 수와 NBC 불법 복제 수의 차이
- Dt가 동일하고 NBC_i가 달라질 때 종속효과의 차이로, NBC와 non-NBC의 downlods 차이라고 할 수 있음
t를 고정했을 때 모형 = Canonical DID with TWFE

- Canonical DID with TWFE에서 정의한 아래 식과 본질적으로 동일한 식이다!

regression 적합을 위한 수식 변형
해석의 용이성을 위해 식을 아래와 같이 변형한다고 해보자

regression 적합이 가능하도록 변형한 수식은 아래와 같다.

Parallel trend assumption 확인
pre-treatment 시점에 γt = 0 이라면 non-NBC episode가 NBC episode의 적절한 control group임
- γt: t 시점에 NBC 불법 복제 수와 NBC 불법 복제 수의 차이
- -> 11월 15일부터 11월 30일까지 (pre-treatment 시점) 모든 t에 대해 γt = 0인지 테스트

Wald test으로 통계 검정
- 모든 pre-treatment 시점 (11월 18일 ~ 11월 30일) 에서 γt = 0임을 검증 -> 유의수준 5, 10, 20% 하에서 참
- 모든 post-treatment 시점 (12월 1일 ~ 12월 15일)에서 γt != 0임을 검증 -> 유의수준 5, 10, 20% 하에서 참
+) 플랏을 통해서도 pre-treatment assumption이 만족하는 것을 확인함
=> 결론: 디지털 배포 채널의 삭제는 piracy를 증가시킨다.
종속 변수에 대한 log transformation
종속변수를 log 변환 했을 때의 장점
- download 데이터가 skew가 심하기 때문에 log 변환이 더 잘 fit 함
- treatment effect의 비선형성을 설명할 수 있음
robust standard errors
series 내의 에피소드 다운로드가 서로 연관되어 있을 수 있음 (ex. Heroes 시즌1의 에피소드1의 불법 다운로드 수의 증가 ~ Heroes 시즌2의 에피소드 12의 불법 다운로드 수의 증가는 서로 상관관계가 있음)
-> standard error를 series level에서 clustering 함
regression 결과 해석

모델 설명


모델 (i), (ii): 2007년 11월 18일 ~ 12월 15일
모델 (iii), (iv): 2008년 11월 18일 ~ 12월 15일
모델 해석
(i), (ii): non-NBC 불법 복제는 5.8% 증가, NBC 불법 복제는 11.4% 더 증가함
-> 모델을 어떻게 뒀길래 이 해석이 따로 나와?? ;; γ에 대한 추정치는 하나만 나와야 하는게 아니야?
(iii), (iv): γ<0이고 통계적으로 유의하지 않음. 즉, 이 시기에 NBC,non-NBC 불법 복제 수에 통계적인 차이가 없음
-> 2007년에는 NBC 불법 복제 수 > non-NBC 불법 복제수 였지만, 2008년에는 그렇지 않음 (iTunes에서 NBC 컨텐츠의 삭제가 불법 다운로드 수와 인과관계가 있음의 추가 증거)
Spillover Effect의 가능성
- NBC 채널의 삭제가 non-NBC 채널의 불법 복제에 spillover effect (파급효과)를 일으켰을 수 있다
- (NBC 채널의 삭제로 NBC 채널의 컨텐츠를 불법 복제 하면서 non-NBC 채널의 컨텐츠까지 불법복제 했을 가능성이 있음)
- -> non-NBC 채널의 불법 복제 수의 증가 (모델(i) 결과 5.8%)는 (일반적인 time trend) + (NBC 채널 컨텐츠를 불법복제 하면서 non-NBC 채널 컨텐츠까지 불법복제 하는 파급효과)
- -> NBC 채널의 불법복제에 대한 효과가 과소평가 된 걸 수도 있음! (실제 효과는 5.8% 이상)
'계량경제학 > 인과추론의 데이터과학' 카테고리의 다른 글
| [논문 + 코드구현] Experimentation and startup performance: Evidence from A/B testing (0) | 2024.04.28 |
|---|---|
| DID 관련 읽어볼만한 논문 리스트 (1) | 2024.04.28 |
| Two-way Fixed Effects (0) | 2024.04.14 |
| Fixed effects (0) | 2024.04.14 |
| PSM에 대한 논쟁 (0) | 2024.04.04 |